
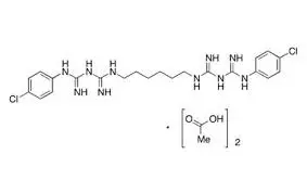
Chlorhexidine diacetate is a drug fixing prestigious for its expansive range antimicrobial properties. It has a place with the class of biguanide compounds and is broadly utilized in different drug details because of its viability against a large number of microbes, growths, and infections.

Salispharm is a main provider of drug natural substances, work in giving excellent product to drug makers around the world. Our item is accessible in different structures, including powder and arrangement, taking special care of assorted definition necessities. With our ability in drug fixings and obligation to quality, Salispharm guarantees that our product satisfies the severe guidelines of the drug business, empowering our clients to foster protected and effective meds.
Salispharm separates itself as a chief provider of drug natural substances through a few key benefits:


Chlorhexidine diacetate tracks down broad use in drug details for its strong antimicrobial properties. Its applications include:
The flexibility of chlorhexidine reaches out across different fields, including:
The measurements and utilization of product change contingent upon the particular detailing and planned application. It is fundamental to follow the suggestions given by medical care experts or the directions gave on the item mark.
Salispharm's product complies with the following quality standards and certifications:

These certifications attest to the quality, safety, and regulatory compliance of our products, ensuring peace of mind for our customers.

Our chlorhexidine diacetate is painstakingly bundled as per industry principles to keep up with its respectability during transportation and capacity. We use secure bundling materials to limit the gamble of tainting or harm.
1. Who are we?
We are based in Xian, China, start from 2020,sell to Domestic Market(45.00%),Western Europe(10.00%),EasternAsia(10.00%),North America(10.00%),Africa(5.00%),Central America(5.00%),Southeast Asia(5.00%),South America(5.00%),Mid East(5.00%). There are total about 51-100 people in our office.
2. How can we guarantee quality?
Always a pre-production sample before mass production; Always final Inspection before shipment;
3. What can you buy from us?
Fluorescent whitening agents, pigments and dyes, pharmaceutical intermediates, paint decoration, pharmaceutical impurities and other products.
4.Why should you buy from us not from other suppliers?
RD &marketing experience products are exported to Europe, North and South America, the Middle East, Asia Pacific and Africa area, so as to establish a long-term and stable cooperation relationship with customer in the world.
5.What services can we provide?
Accepted Delivery Terms: FOB,CFR,CIF,EXW,FAS,CIP,CPT,DDU,Express Delivery; Accepted Payment Currency:USD,EUR,CNY; Accepted Payment Type: T/T,L/C,D/P D/A,Western Union,Cash; Language Spoken:English,Chinese.
For requests with respect to item determinations, valuing, or tweaked arrangements, If you want to buy Chlorhexidine Diacetate, please feel free to reach us at sasha_slsbio@aliyun.com. Our group is focused on offering remarkable assistance and meeting your drug natural substance needs really. We anticipate helping you with your necessities.